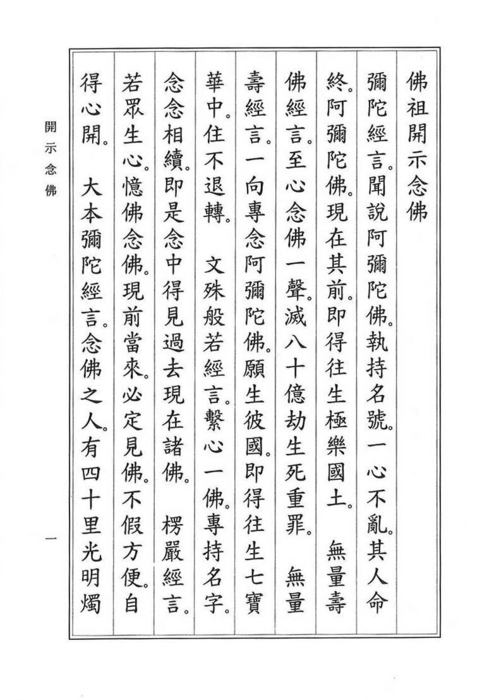
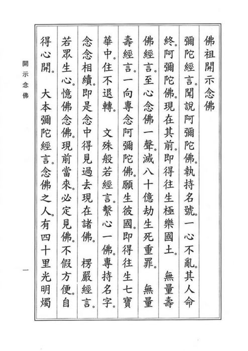
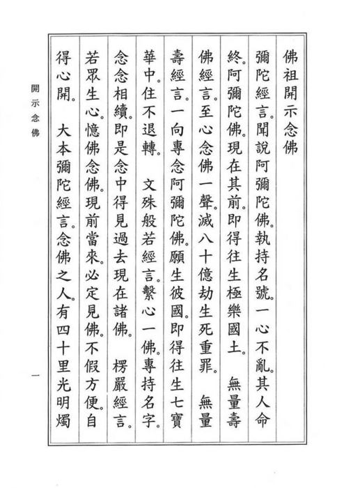
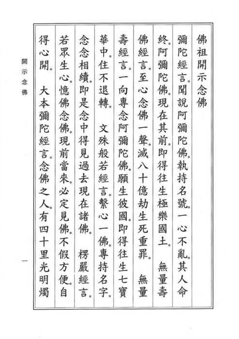
單本 累積5,471點擊次數
拯救1.31棵樹
減少61.28kg碳排放
目錄:
卷上起信法
醒迷門 易行門 析疑門
卷中立願法
決定門 廣度門
卷下勵行法
精持門 兼觀門 斷愛門 飭終門 助行門
簡介:
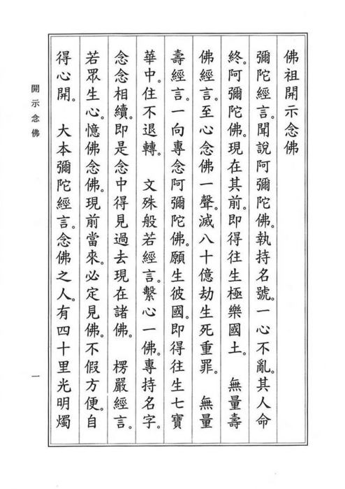
《徑中徑又徑》一書,為淸末張師誠居士(?—1892),精選各種經論和祖師大德關於淨土法門的切要論述,分為起信,立願,勵行三部分,取蓮池大師持名為徑中徑之意,編輯成書路小而捷,就稱為“徑”。 “小”是比喻只念一句佛號極為簡易;“捷”是比喻念佛往生,成就極為迅速。 誠以攝心為學佛之要道;念佛為攝心之捷徑;而持名念佛又為捷徑中之捷徑;古今諸大德多贊淨土為最方便,最快速,最穩當之法門. 並歸納有四種殊勝處:
(1)不斷惑業,得出輪迴;
(2)不經多劫,一生解脫;
(3)不修餘行,得波羅蜜("不假方便,自得心開。");
(4)不值佛世,常得見佛(臨終佛來接引,往生花開見佛)。
由此觀之,稱為捷徑中之捷徑,真實不虛。
此書又經徐槐廷居士,斟酌損益,並在有關各條之後,補充註釋,引證事例,名為《徑中徑又徑徵義》。 益臻翔實,便有利於讀者之理解和生信。
淨宗十三祖印光大師,對此書評價頗高,謂對於淨土法門,“若已有信心,當閱淨土諸書。若不能多閱,其最顯豁(明白通達)者,如《徑中徑又徑》一書,採輯諸家要義,分門別類。令閱者不費研究翻閱之力,直趨(直入)淨土堂奧(精髓)。於初機人,大有利益。”(《印光大師文鈔》复張雲雷居士書二)





























